Recently, I wrote about the process capability index and tolerance interval. In today’s post, I am writing about the relationship between process capability index and sigma. The sigma number here relates to how many standard deviations the process window can hold.

A +/- 3 sigma contains 99.73% of the normal probability density curve. This is also traditionally notated as the “process window”. The number of sigma’s is also the z-score. When the process window is compared against the specification window, we can assess the process capability. When the process window is much narrower than the specification window and is fully contained within the specification window, we say that the process is highly capable. When the process window is larger than the specification window, we say that the process is not capable. How much the process window is enclosed within the process specification window is explained by the process capability index. The most common process capability index is Cpk or Ppk. Here, we will consider Ppk.
Ppk is the minimum of two values:

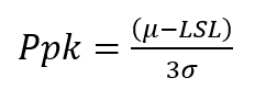
Here µ is the mean, σ is the standard deviation, LSL is the Lower Specification Limit, and USL is the Upper Specification Limit. We are splitting the process window into two here, and accounting for how centered the process is. If the process window is not centered compared to the process specification window, we penalize it by choosing the minimum of the two.
For convenience, let’s assume the equation below:

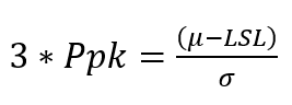
If we multiply both sides by 3, the equation becomes:

The value on the right side can be expressed as – how many standard deviations are contained in the split process window? This is also the Sigma value or the z-score.
For example, if the Ppk is 1.00, then the z-score is 3.00. This means that the process window and the specification window overlap exactly. This corresponds to 99.73% of the curve. Please note that, I am assuming that the process is perfectly centered here. Refer to this post for additional details on calculations for unilateral and bilateral capabilities.

In other words,

This relationship allows us to estimate the %-conforming (% under the curve) by just knowing the process capability index value. A keen reader may also notice the similarity to tolerance interval calculations. If we go back to the idea that sigma is the number of standard deviations that the split process window can accommodate, then we can replace Sigma with k1 and k2 factors used for the tolerance interval calculations for unilateral and bilateral interval calculations.
A word of caution here is about the switcheroo that happened. The calculations we are doing are based on the normal probability distribution curve, and not the actual process probability distribution curve. The accuracy of our inferences will depend on how close the actual process probability distribution curve matches the beautiful symmetric normal curve.
Always keep on learning…
Discover more from Harish's Notebook - My notes... Lean, Cybernetics, Quality & Data Science.
Subscribe to get the latest posts sent to your email.